PRODUCT CENTER




PRODUCT PARAMETERS
Weichai Diesel Generator Set
Product description
Wide power coverage: The single unit capacity ranges from several kilowatts to tens of thousands of kilowatts, with multiple capacity ranges to choose from, which can meet the needs of different power loads
Compact structure: simple supporting equipment, few auxiliary devices, small size, light weight, small footprint, flexible installation position
High thermal efficiency: Diesel engines have a thermal efficiency of 30% -46% and low fuel consumption
Quick startup: usually only takes a few seconds, and in emergency situations, it can reach full load operation within one minute. The shutdown process is short and can be started frequently
Easy maintenance: requiring fewer operators, easy to repair during waiting period, and with after-sales service outlets spread across the country, maintenance is convenient
High reliability: Using high-quality materials and advanced production processes, the manufacturing process strictly controls the quality. After rigorous testing, it can withstand long-term operation tests, has strong load resistance, and can operate stably in harsh environments
Emission environmental protection: adopting advanced technology, with low emissions, in line with national standards, and minimal impact on the environment

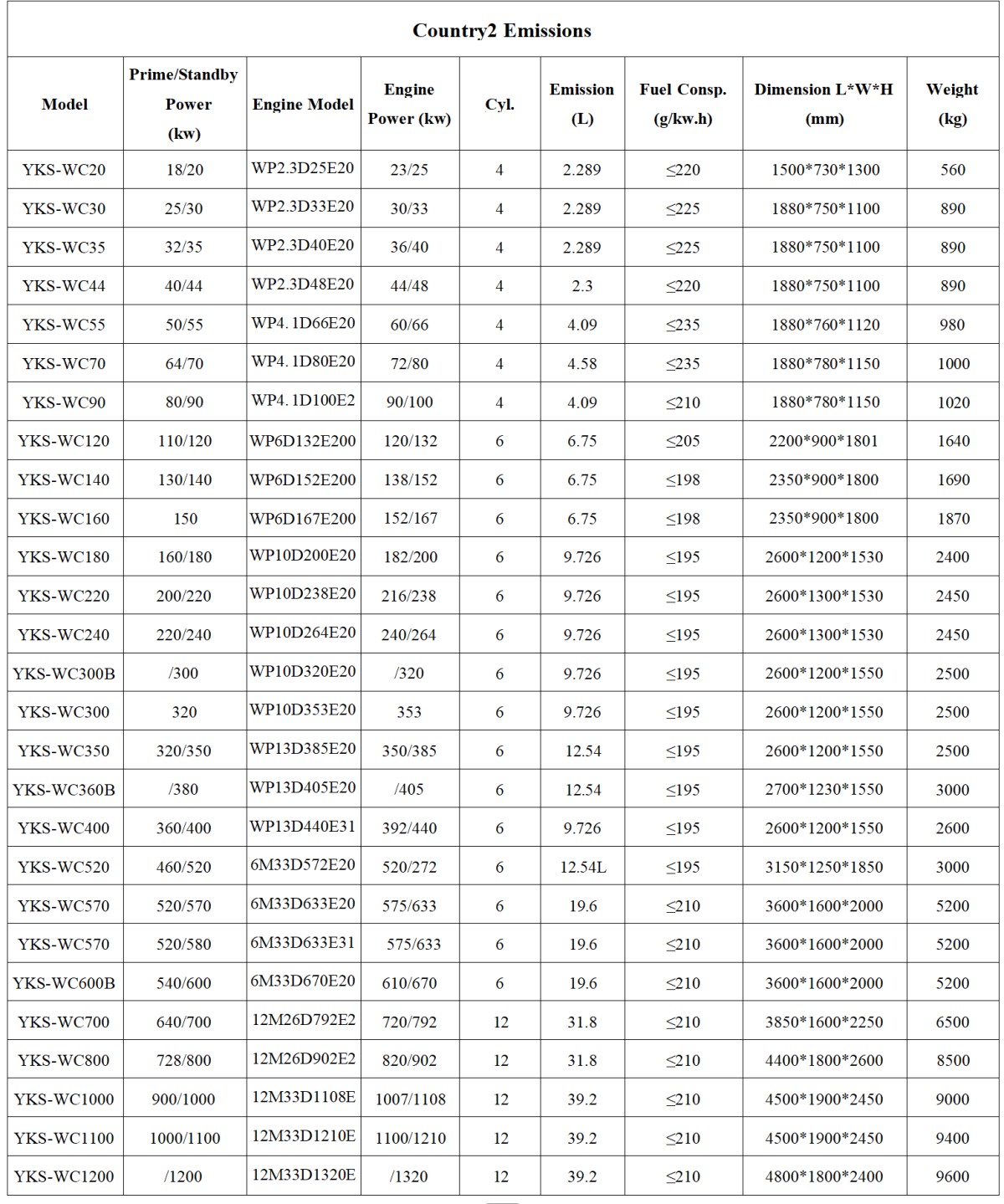
Product Parameters

GET IN TOUCH
PRODUCT RECOMMENDATION